微结构光学课题组在Physical Review Applied发表论文
阅读次数: 发布时间:2019-01-02 更新时间:2019-01-21偏振态的调控反映了人们对光的操纵能力,在通讯、显示、测试及传感技术等方面具有重要的应用价值。通常,人们可利用旋光效应或法拉第效应来实现线偏振光偏振方向的旋转。然而,由于材料性能的限制,这需要较长的通光距离(远大于波长)或较强的磁场。近来,超材料和超表面在光的传播和偏振控制上取得了较大的进展。将超表面和相变材料、磁光材料等复合,人们可在亚波长尺度上调控光的偏振方向。但是,这一效应的实现依赖于较长的响应时间或较强的磁场。同时,在亚波长尺度上实现任意方向的、连续可调的偏振旋转仍然是一个重要的挑战。
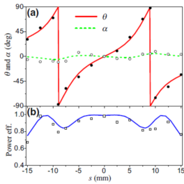
近日,72779太阳集团的微结构光学课题组提出了一个全新的解决方案。该方案利用两块耦合的、刻有亚波长小孔阵列的金属屏来构造一个可调的等离激元偏振旋转系统。其工作机制在于,该系统中微结构的近场耦合和远场辐射依赖于两块金属屏之间的横向位移。通过机械位移的引入,透射电场两个正交分量的幅度可连续调节,且其相位在一定位移范围内保持近似的同相或反相关系。因而,透射波的偏振态非常接近于线偏振态。微波段的理论和实验研究表明,利用金属屏毫米尺度的机械位移,透射波的偏振方向可在360度的范围内实现实时且连续的旋转。在此过程中,微波的透射效率可保持在80-100%。整个等离激元系统的厚度约为λ/6,远小于电磁波的波长。通过按比例缩小结构的几何尺寸,该效应可推广到太赫兹波段,并且机械位移(微米尺度)可通过微机电系统和外加电压加以调控。这为太赫兹波段构造微型、高效且全方位的偏振旋转器提供了可能。
相关工作以 “Arbitrarily Directional and Tunable Polarization Rotating Effect with Coupled Metal Screens” 为题发表于Physical Review Applied。黄成平教授为该文的第一作者。该工作得到了国家自然科学基金项目的支持。


文章链接: https://journals.aps.org/prapplied/abstract/10.1103/PhysRevApplied.10.064038
作者: 黄成平 审核: 王超
