黄成平老师课题组报道太赫兹波段的巨电光效应
阅读次数: 发布时间:2025-09-29 更新时间:2025-09-29太赫兹波技术在通信、成像和物质检测等领域具有巨大的应用潜力,然而,高效调控太赫兹波的核心——电光调制技术却发展受限。传统电光材料,如铌酸锂晶体,在太赫兹波段面临挑战:除了具有强烈的吸收,它们往往需要103V/mm的高驱动电场,但所能实现的折射率变化却非常微小(~10-3),这严重限制了太赫兹器件的性能与应用。因此,开发兼具低驱动电压和大调制幅度的新型电光材料,成为该领域研究者面临的一个关键难题。
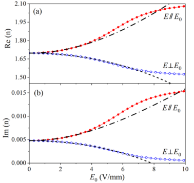
针对这一挑战,我们理论提出了一种基于金属纳米棒悬浮液的设计方案,揭示了一种太赫兹波段的“巨电光效应”。方案采用微米级长度、数十纳米级半径的金属棒作为功能单元,将其分散在非极性液体中形成“等离激元悬浮液”。该材料实现“巨电光效应”的物理机制源于两个数量级上的巨大提升。首先,是静态极化能力的百万倍增强。金属纳米棒本身虽无固有偶极矩,但在外加静电场作用下,其内部大量自由电子会发生定向移动,在棒的两端累积电荷,从而感应产生静态偶极矩。计算发现,这种微米级银纳米棒产生的感应偶极矩可高达约10⁻²⁴ C·m,比典型的极性分子的固有偶极矩(约10⁻³⁰ C·m)提高了6个数量级。这意味着,即使施加非常微弱的静电场,所产生的扭矩也足以克服热运动的影响,使纳米棒高效地沿电场方向定向排列。其次,是太赫兹光学响应的亿万倍增强。由于微米级的长度设计,这些金属纳米棒会在太赫兹频段产生强烈的等离激元共振。即使在共振频率之外,其太赫兹光学极化率也达到了惊人的10⁻¹⁷ m³,这比普通分子的电子极化率(10⁻²⁹ m³)高出12个数量级。这种极强的光学响应意味着纳米棒的取向将极大地影响悬浮液整体(有效媒质)对太赫兹光的介电常数或折射率。理论计算表明,对于一定的浓度范围,该材料在仅为10 V/mm的电场下,即可实现高达0.06~1.0的折射率变化(相对变化4%~56%),且折射率的虚部远小于实部(即具有微弱的吸收;工作频率需偏离等离激元共振)。此外,该材料还伴随着强烈的双折射效应以及(靠近共振波长处的)电吸收效应。

该研究在理论上实现了“低驱动电压”与“大调制幅度”的兼得,为设计高性能的人工电光材料和器件提供了新的路径。相关工作以“Giant electro-optic effect of plasmonic nanorod suspensions in the THz frequency range”为题发表于Optics Express 33, 42142-42155 (2025)。研究工作得到了国家自然科学基金的支持。
论文链接:https://opg.optica.org/oe/fulltext.cfm?uri=oe-33-20-42142&id=%20581619###。
